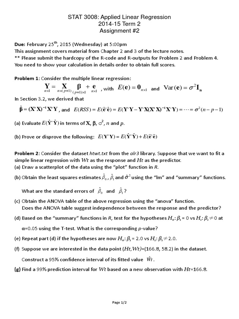
Cu 3008 Assignment 2 Due Feb 25th Regression Analysis Linear Regression
|"^ Ê¢®éÝ IbNX
|"^ Ê¢®éÝ IbNX-



How To Type Accents On The Iphone Keyboard



Connect Font For Logos By Arbuzu Graphicriver



Acute Accent Wikipedia



Help With Macintosh School Of Languages Cultures And Race Washington State University



Cu 3008 Assignment 2 Due Feb 25th Regression Analysis Linear Regression



Answered The Discrete Random Variable X Has Bartleby



T 26 Digital Type Foundry Fonts Graphie



How To Type Accents With Alt Codes Shortcuts How To Type Anything



Solved Problem 1 Working Through Some Details Of A Simp Chegg Com



Windows 1252 Wikipedia



Unicode And Multilingual File Conversion Font And Keyboard Utilities For Windows Computers



Jasmine Bloom Font By Orenari Creative Fabrica



Comfortaa Font Dafont Com



Fancy Letters ꭿ น ꭿ ℊ ℬ Copy And Paste Unicode Character Table



Y Wiktionary



Luit Locale And Iso 22 Support For Unicode Terminals



Solved Suppose The Classical Regression Model Y Xb E W Chegg Com



How To Type Special Characters And Symbols On Your Iphone Or Ipad Imore



Abc Of French Is What Brainly In



Solved 1 50 Pts Suppose The True Outcome Model Is Y Chegg Com



Characters In Excel Excel



Scriptsource Entry Phonetic Symbol Guide



French Word In Mouse Over Strange Comportment Rapidweaver Rapidweaver Support Forum



Solved Collars A And B Are Connected By A 525 Mm



Correlation And Regression Ppt Download



Bab 9 Outlier Errors And Residuals



Portuguese Orthography Wikipedia



Vietnamese Alphabet Of 29 Letters How To Pronounce Them



Number Theory Speaker Deck



Unicode Names



Northern Sotho Language Alphabet And Pronunciation



How To Type Accents On The Iphone Keyboard



The Statistical Exploration In The G Expectation Framework The Pseudo Simulation And Estimation Of Variance Uncertainty Semantic Scholar



Chart All Dpr



Solved 6 Suppose Y N Xb E Where X E Rnxp Berp E E Chegg Com



Alt Codes List Alt Key Codes Symbols Sheet Unicode Character Table



The Futur S Fresh Fonts Bundle Design Cuts



Integration By Parts X 𝑒ˣdx Video Khan Academy



Gagauz Language Alphabet And Pronunciation Turkic Languages Language Greek Alphabet



Alt Codes How To Type Special Characters And Keyboard Symbols On Windows Using The Alt Keys



E Wikipedia



Chapter 2 Lasso For Linear Models Statistics For



How To Learn The Vietnamese Alphabet An In Depth Guide



Neustadt Font Free For Personal



Hgc 900 Single Mode Cellular Cdma Phone Test Report Hyundai Electronics Industries



Locality In Coding Theory Madhu Sudan Harvard April



Rohh Type Foundry



Sailor S Fat Tattoo Script Tattoo Fonts And More Out Of Step Font Company



S Font



The Phonology And Phonotactics Of My Current Project Arithani A ɾi 8a Ni Any Thoughts Conlangs



La Chine



How To Type Accent Marks Over Letters In Microsoft Word



Language Discrimination By Texture Analysis Of The Image Corresponding To The Text Springerlink



Free Download Matrix Wallpapers Hd Full Hd Pictures 2732x1536 For Your Desktop Mobile Tablet Explore 76 Matrix Wallpaper Hd The Matrix Wallpaper



Shopping



Makozin Medium Font Youworkforthem



Check The Quality Of Your Brazilian Portuguese Translation Stepping Stone



A Delightful Site For Writers And Lovers Of Words And Language It Is All About The Number Zero Its Place In The History Philosophy And World Literatures We Have Heard Of Calling Someone A Total Zero As An Insult But What Does Zero Really Mean This



Let Indesign Add The Diacritics Creativepro Network



Sailor S Fat Tattoo Script Tattoo Fonts And More Out Of Step Font Company



File Easytimeline Code00 Chars Png Meta



Nick Black For J In Do For I In Seq 0 255 Do Unicode Brief D I J Cut Du F1 Tr D N



Table 2 From Endogenous Attrition In Panels Semantic Scholar



The French Alphabet



Solved X Y E E X E Y 4 3 2 2 1 3 1 1 0 0 Ex 2y E Chegg Com



E Wiktionary



9249r User Manual Manual Taiyo



Vietnamese Characters Learn Tieng Viet



Scriptsource Entry Phonetic Symbol Guide



X Wiktionary



Escaphandro The Portfolio Of Rafael Nascimento



Typing French Accented Characters On A Qwerty Keyboard Languedoc 121 Tech



Tuttle Compact Vietnamese Dictionary Tuttle Publishing



Guide To Pronunciation Vietnamese Alphabet Tones



Executive Typefaces Optimo



What Is The Maximum Value Of The Function Y 1 X X Quora



Br Portuguese Upper Stepping Stone



Ff Good Mobi Condensed Book Search Results Fontshop Font Shop Best Typography



Altgr Weur Layout



Hello Wor L D Rich Text Like Ms Word Or Rtf Is By Ia Inc Medium



Abstract Digital Background With Green Color Of Binary Code And Password Word Stock Illustration Illustration Of Programming Green



Answered 7 Let X X X Be Poisson Random Bartleby



Problem Set 3 With Solutions Random Processes Ece 534 Docsity



Di A A Thy Thyyy Z A A Y Y Yyyyyyyyyyyyyyyyyyyy Yyyyyyyyyyyyyyyyyyyyyyyyyyyyyyyyyyyyyyyy Yyyyyyyyyyyyyyyyyyyyyyyyyyyyyyyyyyyyyyyy Yyyyyyyyyyyyyyyyyyyyyyyy Thyyy

